Spotřeba vody před asi 30 lety byla přibližně 200 litrů denně na osobu. V té době byla cena vody (vodné + stočné) 1 Kč/1 m3. V současné době spotřeba klesla pod 100 l/osobu, den. Cena vody vzrostla v průměru na 90 Kč/1 m3. V některých obcích činí cena i více než 150 Kč/1 m3.
Výpočet spotřeby vody
Přesný a podrobný výpočet spotřeby vody je relativně složitý a vychází z různých právních předpisů. Jinak se provádí výpočet spotřeby vody a návrh vodovodního potrubí při odběru vody z veřejného vodovodu než ze studny. Výpočet ze studny zahrnuje různé koeficienty, součinitele nerovnoměrnosti odběru atd. Zájemcům o podrobnosti je k tomu určen samostatný článek na webu TZB-info.
Výpočet spotřeby vody při odběru z veřejného zdroje se provádí podle normy ČSN 75 5455 [11]. Tato norma platí pro dimenzování potrubí vnitřních vodovodů, která slouží pro přívod studené vody a přívod a cirkulaci teplé vody, podrobnou metodou.
Norma platí také pro dimenzování potrubí vodovodních přípojek podle ČSN 75 5411 Vodárenství. Vodovodní přípojky [12] a pro stanovování maximální hodinové potřeby vody pro malá spotřebiště charakteru obce nebo její části. Podle této normy se stanovuje také průtok vodoměry na vnitřních vodovodech a vodovodních přípojkách.
Pro spotřebiště, která mají méně, než 2 000 obyvatel, nelze výpočtem podle průměrné a maximální denní potřeby vody stanovit správnou hodnotu maximální hodinové potřeby vody. Zjednodušené dimenzování potrubí vnitřního vodovodu podle ČSN EN 806-3 [13] je možné pouze v budovách uvedených v národní předmluvě k ČSN EN 806-3:2006.
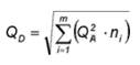
Vzorec pro výpočet průtoku vody pro rodinné domy, bytové domy, administrativní budovy, jednotlivé prodejny (s rovnoměrným odběrem vody pouze k osobní hygieně zaměstnanců a úklidu) a hygienická zařízení pro jeden hotelový pokoj.

QD … výpočtový průtok pro dimenzování potrubí (l/s)
QA … jmenovitý výtok jednotlivými druhy výtokových armatur (l/s)
n…počet odběrných míst stejného druhu
m… počet druhů odběrných míst
Výpočtové vzorce pro jiné budovy jsou odlišné. Výpočty provádějí projektanti pomocí výpočetních programů.
Spotřeba vody podle vyhlášky č. 120/2011 Sb.
Od 6. 5. 2011 platí Vyhláška č. 120/2011 Sb., kterou se mění vyhláška Ministerstva zemědělství č. 428/2001 Sb., kterou se provádí zákon č. 274/2001 Sb., o vodovodech a kanalizacích pro veřejnou potřebu a o změně některých zákonů (zákon o vodovodech a kanalizacích), ve znění pozdějších předpisů.
Při výpočtu spotřeby vody v bytových domech, rodinných domech a rekreačních chatách se musí na každého obyvatele k roční spotřebě připočítat ještě tzv. směrné číslo – viz Tab. 1.

Tab. 1 Směrné číslo spotřeby vody (zdroj: TZB-info)
Použitá a doporučená literatura
[11] ČSN 75 5455 Výpočet vnitřních vodovodů
[12] ČSN 75 5411 Vodárenství. Vodovodní přípojky
[13] ČSN EN 806-3 (755410) Vnitřní vodovod pro rozvod vody určené k lidské spotřebě - Část 3: Dimenzování potrubí - Zjednodušená metoda.
[14] http://www.snizujeme.cz/clanky/hospodareni-s-pitnou-vodou-nejen-v-pasivnim-dome/
[15] https://www.novinky.cz/domaci/433057-podzemnich-vod-v-cesku-hrozive-ubyva.html












Sdílet / hodnotit tento článek